포스파티딜세린 정의, 이점, 부작용

포스파티딜세린 나이가 들면

기억력과 인지력이 떨어지면 찾는 영양소입니다.

수능을 앞둔 수험생의 부모님들도 꼭 찾아보세요.

포스파티딜세린에 대해 살펴보겠습니다.


포스파티딜세린의 정의

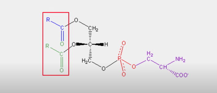
포스파티딜세린은 포스파티딜콜린, 포스파티딜이노시톨, 포스파티딜에탄올아민 및 포스파티딜세린과 같은 레시틴의 성분 중 하나를 차지하는 성분이다.

국내 뿐만 아니라 해외에서도 포스파티딜세린의 일일 권장량은 300mg입니다.이보다 적은 양을 섭취하면 적절한 기능을 발휘하지 못할 수 있습니다. 따라서 300mg인지 확인하거나 300mg에 따라 복용하십시오.


포스파티딜세린의 효과


레시틴과 마찬가지로 포스파티딜세린은 세포막의 구성 요소입니다. 뇌 세포막에 있는 인지질의 약 13~14%는 포스파티딜세린으로 구성되어 있습니다.그랬어야 했어요.

포스파티딜세린 1일 권장량인 300mg을 섭취하지 않으면 뇌의 신경세포가 제대로 분화·성장하지 못해 뇌기능, 기억력, 인지기능이 저하돼 결국 치매에 이르게 돼 예방영양제 치매라고도 한다. .

그리고 자외선으로 인한 피부 손상으로부터 피부 건강 유지에 도움을 주어 피부를 촉촉하게 가꾸어줍니다.이는 포스파티딜세린이 피부의 수분 보유력 강화에도 관여하기 때문에 가능한 일이다.

포스파티딜세린의 부작용


상업적으로 이용 가능한 포스파티딜세린

포스파티딜세린의 알려진 부작용은 없습니다. 어떤 사람들은 불면증에 시달리거나 위장 장애를 호소합니다.포스파티딜세린은 콩에서 추출하므로 콩 알레르기가 있는 경우 해바라기 레시틴을 대신 사용할 수 있습니다.

그러면 나중에 봅시다